[ASP-GAU-Users] Fwd: GAU allocation overshoot

Sebastien Blaise sblaise at ucar.edu
Wed Jan 12 09:53:23 MST 2011


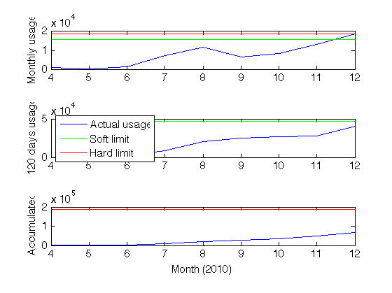
Just a precision: the graph I provided showed the accumulated GAUs for 
the past year. Here is a more complete picture with the monthly and 
3-month evolutions, showing that the usage is strongly increasing.

Best,
Sébastien


-------- Original Message --------
Subject: 	[ASP-GAU-Users] GAU allocation overshoot
Date: 	Wed, 12 Jan 2011 09:44:12 -0700
From: 	Sebastien Blaise <sblaise at ucar.edu>
Reply-To: 	sblaise at ucar.edu
To: 	ASP GAU <asp-gau-users at asp.ucar.edu>



Dear ASP GAUs users,

We recently ran over our 30-day GAU allocation limit (129%), and we are 
also close to the 90-day limit (101% while the hard limit is 105%).

As you can see on the following graph (available on 
https://cislportal.ucar.edu), our GAU usage increased heavily during the 
past months. It is a good illustration of what was said during the 
Postdoc Retreat: the characteristic turnover of ASP postdocs makes it 
difficult to spread the usage over the year.


As the ASP GAUs cannot be used anymore, I encourage you to use your 
division GAUs for the rest of the month. You just need to change the 
account number from 86850055 to your division account in your submission 
scripts.

To avoid blocking the ASP GAU account once again, we must use the wiki 
(https://wiki.ucar.edu/display/ASPGAU/Home) to indicate our needs for 
the upcoming month and be sure to not overshoot the limit:

   1. On the 1st of the month, an e-mail will be send reminding people
      to make their monthly request and indicating the GAU statistics
      for the previous month.
   2. By the 7th of the month, each user should indicate their request
      for the month. NOTE: If you will not use any GAUs, then put a 0 in
      the table, so we know that you have made your request. You can not
      request more than your monthly allotment in the initial request.
   3. On the 8th of the month, an e-mail will be sent indicating the GAU
      requests for the month and the additional number of GAUs that are
      available. These can be claimed on the wiki in a first come first
      served basis by adding additional GAUs to your request for the
      current month. Please update the monthly total, so everyone knows
      how many GAUs remain unallocated.


As the limits are based on 30-day and 90-day running means, we may still 
be limited in February, but I think that the situation will become 
normal again in March if we follow the guidelines of the wiki.

Best,
Sébastien



-- 
Sébastien Blaise, PhD.
National Center for Atmospheric Research (NCAR)
Institute for Mathematics Applied to Geosciences (IMAGe)
P.O. Box 3000
Boulder, CO 80307 (USA)
Phone : +1 303-497-2884   Fax : +1 303-497-2483
E-mail :sblaise at ucar.edu
http://www.image.ucar.edu/~sblaise

-------------- next part --------------
An HTML attachment was scrubbed...
URL: http://mailman.ucar.edu/pipermail/asp-gau-users/attachments/20110112/89ee6d11/attachment-0001.html 
-------------- next part --------------
A non-text attachment was scrubbed...
Name: GAUevolution.png
Type: image/png
Size: 5923 bytes
Desc: not available
Url : http://mailman.ucar.edu/pipermail/asp-gau-users/attachments/20110112/89ee6d11/attachment-0002.png 
-------------- next part --------------
A non-text attachment was scrubbed...
Name: not available
Type: image/png
Size: 11087 bytes
Desc: not available
Url : http://mailman.ucar.edu/pipermail/asp-gau-users/attachments/20110112/89ee6d11/attachment-0003.png 


More information about the ASP-GAU-Users mailing list